营养状态和代谢范围对锦鲫幼鱼群体行为的影响

NUTRITIONAL STATUS AND AEROBIC SCOPE ON GROUP BEHAVIOUR OF JUVENILE GOLDFISH (CARASSIUS AURATUS)

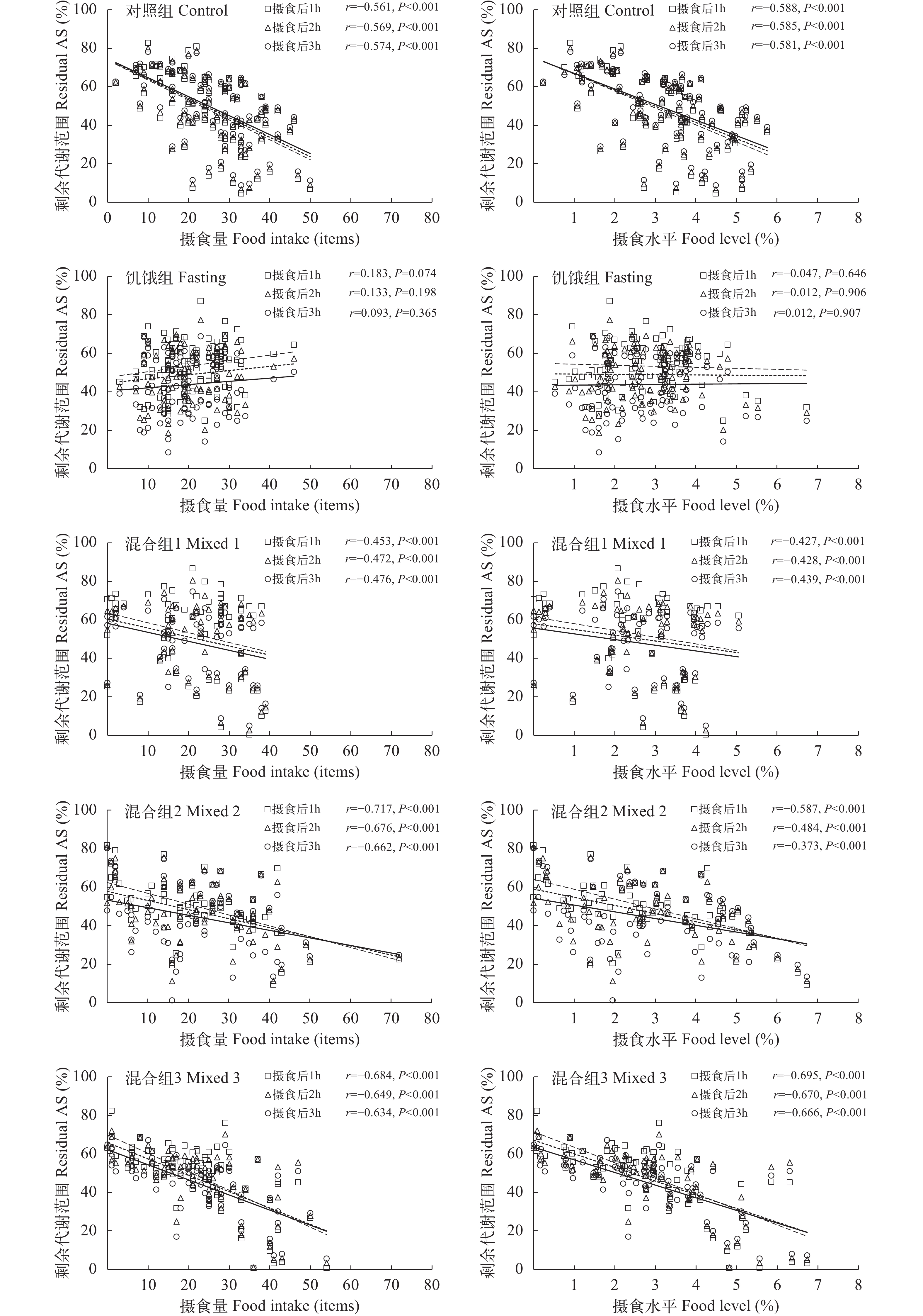
  • 摘要: 为考察营养状态和代谢范围对鱼类群体行为的影响, 研究以锦鲫(Carassius auratus)幼鱼为实验对象, 在(25.4±0.2)℃条件下先测定其摄食代谢和能量代谢(标准代谢率, SMR; 最大代谢率, MMR)计算代谢范围(AS=MMR–SMR), 再测定5个“营养-AS”处理组的锦鲫鱼群体中的个体空间位置、摄食量及个体特征(如个体游泳速度和加速度)和群体特征(如个体游泳速度同步性、个体间距离、最近邻距离和群体极性)。研究发现: 营养状态、饥饿、代谢范围、摄食和消化对鱼群中的个体空间位置均无影响。饥饿和消化对锦鲫群体的凝聚力并无影响, 但饥饿降低该种鱼群体协调性的现象仅在消化期间存在, 即群体中个体食物获取能力导致消化策略并非相同, 由此引发个体游泳运动同步性更加紊乱, 最终导致群体协调性下降。在正常营养状态的锦鲫群体中, 群体前部的空间可赋予个体获得更多食物资源的生态收益, 但饥饿消除该群体中个体空间分布生态收益的异质性。对照组摄食量与摄食水平与预测剩余的AS呈负相关, 饥饿组摄食量与摄食水平与预测剩余的AS不相关。研究表明: 在正常营养状态的锦鲫群体中, 群体前部的空间可赋予个体获得更多食物资源的生态收益, 但饥饿消除该群体中个体空间分布生态收益的异质性。饥饿和消化对锦鲫群体的凝聚力并无影响, 但饥饿降低该种鱼群体协调性的现象仅在消化期间存在, 即群体中个体食物获取能力导致消化策略并非相同, 由此引发个体游泳运动同步性更加紊乱, 最终导致群体协调性下降。

     

    Abstract: In order to investigate the effects of nutritional status and metabolic range on group behavior of fish, juvenile crucian carp (Carassius auratus) was conducted as the animal model, and its feeding metabolism (specific dynamics, SDA) and metabolic rates (Standard Metabolic Rate, SMR; Maximum Metabolic Rate, MMR) was determined to calculate metabolic scope (AS=MMR–SMR) at (25.4±0.2)℃. Based on the combination of nutritional state and AS, five ‘nutritional state plus AS’ treatments were determined for their individual spatial position within a group, feeding intake, individual characteristics (e.g., individual swimming speed and acceleration), and group characteristics (e.g., synchronization of speed, inter-individual distance, nearest neighbour distance, and group polarization). Our results showed that nutritional status, starvation, aerobic scope, feeding and digestion had no effect on individual spatial position within a group. Starvation and digestion did not affect the group cohesiveness of juvenile crucian carp, but starvation reduced the group coordination of this species only during digestion, i.e., difference in individual food acquisition ability led to a different digestion strategy among group-mates, resulting in a lower synchronization of speed and eventually a decrease in group coordination. In the control group, the space in the front of the group confers the ecological advantage of individuals to obtain more food items, but starvation eliminated this ecological advantage in the front of the group. The feeding intake and feeding level of the control group were negatively correlated with the predicted remaining AS, and which of the starvation group were not correlated with the predicted remaining AS. Our results suggested that both the nutritional status and aerobic scope had no effect on the individual spatial position within schooling in gold fish. Occupying the spatial position at the front of the school can confer to the ecological benefits (e.g., more food resources), but starvation eliminates the heterogeneity of ecological benefits of individual spatial position distribution within the school. Starvation and digestion have no effect on group cohesion of the goldfish, but the phenomenon that starvation reduces the group coordination only appeared during the digestion stage. Individual difference in ability to obtain food within the group may lead to different digestive strategies among group-mates, resulting in more disordered swimming align of individuals, and finally leads to the decline of group coordination.

     

/

返回文章
返回